Krstulovic-Dabic(KD)水化動力學模型經常被用來研究水泥基材料的水化機制。等溫量熱法是研究水泥基材料水化動力學的常用方法,得到的數據可以很好地描述水化過程。在本文中,使用低場核磁共振來監測水泥基材料的水化過程,經過數據處理,結果表明KD模型也適用于低場核磁共振。
由于低場核磁共振能夠對水泥基材料進行了連續和無損的測量,相比等溫量熱法在描述水泥基材料的水化行為方面有很大的應用前景。
水泥的發明超過了100年,但其具體的水化機制目前還不完全了解,因為水泥由多組分組成,每一種礦物都有不同的水化行為,并且相互作用,這使得水泥的水化過程特別復雜。一般來說,水化過程是水泥基材料的基礎,因此深入了解水泥基材料的水化機制對其微觀結構、發育過程等研究十分重要。
由于低場核磁共振技術是一項快速、無損、綠色、精度高且可以連續監測水泥基材料水化過程的技術。
本文使用蘇州紐邁分析儀器股份有限公司提供的低場核磁設備測試水化的過程,設備型號為:NMRC12-010-T,配置了波蘭特水泥和C3S樣品,以便進一步研究不同水泥基材料的水化過程。

由于低場核磁共振是一種以水分子為測試對象的連續監測方法,整個水化階段的水化率可以通過水信號的變化來表征。為了比較,不同樣品的初始信號強度被定義為100%,以便于觀察水化過程的差異。
圖1顯示了3天內不同樣品PC-0.3-NMR和PC-0.5-NMR的水化過程低場核磁信號。水泥的水化過程也可以根據信號強度的變化率大致分為三個階段。在水化后的幾個小時內,水化產物分布在未水化的水泥表面,使整個水化過程變得緩慢,特別是PC-0.5-NMR的水化過程。然后,涂層破裂導致水化進入快速反應階段,最后水化速度逐漸減慢并穩定下來。

圖1 不同水泥樣品的水化過程低場核磁信號
圖1中兩個樣品PC-0.3-NMR和PC0.5-NMR的水化過程的差異較為明顯,水骨比較小的PC-0.3-NMR在水化的早期階段顯示出更快的水化率,PC-0.3-NMR的信號強度在水化72小時內下降了90%以上,明顯高于PC0.5-NMR。
通過對不同水泥樣品的水化過程低場核磁信號進行處理,可以得出樣品水化程度的具體表征結果,如圖2所示。PC-0.5NMR的水化仍可分為三個階段。與PC-0.3-NMR相比,PC-0.5-NMR的水化程度也出現了先低后高的現象。

圖2 不同水泥樣品低場核磁法水化程度結果
圖2中低場核磁共振的結果與傳統的等溫量熱法測得的結果相似,表明這兩種方法在表征水泥的水化動力學方面具有高度的一致性。因此,在理論前提下,通過低場核磁共振建立水泥基材料的KD水化動力學模型是可行的。
通過計算,可以擬合的不同水化過程(NG、I、D)的動力學曲線,以PC-0.5-NMR樣本為例,NG、I、D過程的線性擬合結果如圖3所示,線性擬合誤差也相對較小。根據進一步的公式計算動力學參數結果為:n=2.2071, K’1= 0.0609, K’2=0.01121, K’3=0.00183。

圖3 波蘭特水泥不同水化過程(NG、I、D)的線性擬合結果
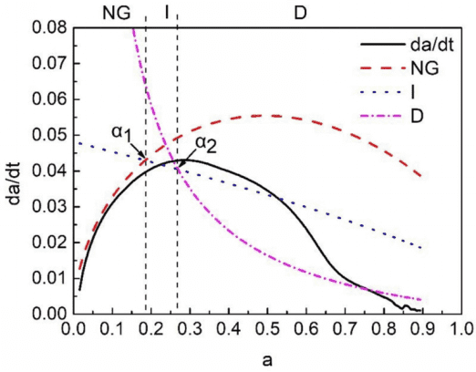
圖4展示了通過低場核磁共振對NG-I-D過程進行分段模擬的結果。低場核磁共振結果還顯示,PC的水化機制從NG過程變為I,然后再變為D。當水化程度為0-0.184時,水化主要為NG階段。當水化程度在0.184和0.269之間時,水化過程主要為I階段。而0.269之后的大部分水化階段主要為D階段。

圖4 波蘭特水泥NG-I-D過程進行分段模擬的結果
同樣,對于C3S,本文也使用低場核磁共振來研究其水化動力學模型。圖5披露了C3S水化6天內的水信號振幅和水化程度結果。兩個結果都顯示,C3S在最初的十小時水化過程中具有更快的水化率。在這個階段,信號振幅和水化程度的結果演變得更快,然后水化率的趨勢就變慢了。更重要的是,6天水化后C3S的水化度約為0.46,這比等溫量熱法的結果要高(6天的水化度為0.27)。

圖5 C3S樣品水化6天的信號振幅和水化程度結果
這證實了以水為探針的低場核磁共振比等溫量熱對水化程度的表征結果更高。值得注意的是,C3S比波蘭特水泥需要更長的時間來進行水化。盡管它們在水化的初始階段都有較快的水化反應速率,在2-3天的水化之后,波蘭特水泥的反應速率趨于平穩。
通過計算,可以擬合C3S的不同水化過程(NG、I、D)的動力學曲線,擬合結果如圖6所示。通過公式進一步推導得到NG、I和D的水化過程的動力學參數n=2.1812、K’1=0.0588、K’2=0.0161和K’3=0.0027。

圖6 C3S不同水化過程(NG、I、D)的線性擬合結果
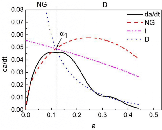
圖7顯示了通過低場核磁共振對C3S的NG-I-D水化階段進行分段模擬的結果。如圖7所示,NG、I和D的三條水化動力學曲線也相交于一點。

圖7 C3S NG-I-D過程進行分段模擬的結果
因此,C3S的水化反應首先由NG過程主導,然后變成D過程,是不經過I過程的。當水化程度在0-0.127時,C3S的水化主要為NG階段;在水化程度達到0.127后,水化反應主要為D階段。
本研究使用低場核磁技術,基于KD模型研究了波特蘭水泥和硅酸三鈣的水化動力學。結果證明,由低場核磁共振法建立的水泥基材料的KD水化動力學模型可以作為一種可靠的方法來研究水泥基材料的水化機制,結論如下:
[1] Anming She, Kun Ma, et al. Hydration kinetics of cementitious materials based on low-field NMR and isothermal calorimetry [J], Fullerenes, Nanotubes and Carbon Nanostructures 2022,30:6, 607-618.

電話:400-060-3233
售后:400-060-3233
返回頂部