各位關注食品科技前沿的朋友們,“紐邁杯”江南大學優秀案例解析系列迎來了收官之作!壓軸登場的研究聚焦冷凍食品品質提升的核心挑戰——水分遷移與冰晶損傷。本期,我們一同走進江南大學團隊利用低場核磁共振技術,探索磁場輔助冷凍調控對蝦仁水分遷移的精彩研究!
冷凍技術是延長水產品貨架期(如蝦類)的關鍵手段,通過抑制生理生化過程、微生物生長來維持產品品質。然而,傳統冷凍過程常因凍結速率不足,導致形成大量不規則的大冰晶。這些冰晶會嚴重損傷食品組織細胞,引發水分遷移,進而造成產品風味、營養價值的損失,并影響后續加工與消費接受度,制約了水產品的推廣與發展。因此,調控冰晶尺寸、抑制水分遷移成為提升冷凍水產品品質的核心挑戰。幾十年來,冷凍工藝的優化集中在提高熱傳遞效率上。然而,這種方法的主要缺點(如低溫快速冷凍)是總冷卻成本高,且某些產品在直接暴露于極低溫度時易發生凍裂。最近,人們開始關注成核并提出了幾種成核控制技術。從調節晶體核心形成和冰晶生長的角度出發,加速冷凍速率,使熱傳遞速率大于水分滲透速率,以形成大量小體積均勻分布的細胞內冰晶,保護食品組織。其中,磁場輔助冷凍(MF)不僅改變了冰晶的成核,而且沒有污染且能耗低。它不會在凍結過程中改變食品內部壓力或產生氧化物質,是一種新型綠色食品凍結技術。

準確表征冰晶形成過程及水分狀態動態變化對優化冷凍工藝至關重要。然而,傳統檢測方法多依賴破壞性取樣,難以實現冷凍過程中水分遷移與冰晶演變的實時、原位追蹤。相比之下,低場核磁共振(LF-NMR)技術憑借其非破壞性優勢,能夠通過檢測水分子中氫質子的弛豫特性(特別是T2弛豫時間),有效區分并量化樣品中不同狀態水分(如自由水、結合水)的分布與遷移情況,為解決上述難題提供了強有力的技術支撐。
1、揭示磁場輔助冷凍對蝦仁水分遷移的影響機制;
2、優化磁場強度參數,提升冷凍蝦仁的保水性與質構。
實驗流程:
樣品制備:
1、活蝦預處理;
2、磁場冷凍(0-80 mT);
3、LF-NMR與MRI檢測。
關鍵參數:
1、磁場強度梯度(20/40/60/80 mT);
2、冷凍溫度曲線(預冷、相變、深冷階段)。
分析方法:
LF-NMR:橫向弛豫時間(T2)解析水分分布;
MRI:偽彩色圖譜直觀展示水分遷移;
SEM/光學顯微鏡:冰晶形態與肌纖維損傷觀察。
該實驗中使用核磁共振成像分析儀NMI20-060H-I(紐邁分析)進行了LF -NMR弛豫測量。通過多層自旋回波脈沖序列成像分析了磁共振成像 (MRI)測量結果,直觀展示了樣品的水分分布情況。
1、低場核磁共振(LF-NMR )是一種非破壞性方法,通過測量樣品中水分子的弛豫時間來分析水分的分布和狀態。

圖1:LF NMR曲線

圖2:水組分P2的相對含量(%)

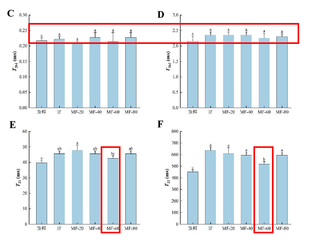
圖3:橫向弛豫時間T2(ms)(IF:浸泡凍結;MF:不同強度的磁場輔助凍結。)
如圖所示,在0-1 毫秒(T2b1)、1-10毫秒(T2b2)、10-100毫秒(T21)和100-1000毫秒(T22)可以觀察到四種不同的水群體。T2b1和T2b2分別代表強結合水和弱結合水。T21 代表存在于肌原纖維蛋白致密網絡中的固定水,而T22代表存在于纖維束之間,依賴于毛細管力的自由水?。P2 代表相應組的相對含水量,P2越大,重組組的相對含水量越高,反之亦然。(C-F)T2 代表樣品對水分子的結合能力,T2值越小,樣品對水分子的結合能力越強,反之亦然。
1、冷凍處理導致固定水 (T21) 的弛豫時間增加,表明冷凍減弱了固定水與其他成分的結合,并增加了固定水的流動性。這可能是由于冷凍導致肌原纖維蛋白質變性,從而改變了水合作用,以及肌原纖維網絡的惡化導致蛋白質分子部分氫鍵和離子鍵解離。
2、MF-60 處理組的 T21 值低于其他冷凍處理組,表明 MF-60 處理有效地抑制了固定水流動性的增加,這可能歸因于 MF-60 抑制了大冰晶的形成,減少了冰晶對肌纖維網絡結構的損傷,抑制了蛋白質分子的展開和變性。
2、磁共振成像(MRI) 是一種快速且無創的成像技術,通過測量樣品中氫原子的弛豫時間來構建樣品內部水分分布的圖像,可以無損地檢測食品基質內部的水分布。圖像中不同顏色的區域代表不同的氫質子密度,從而反映不同區域的水分含量。

圖4:不同處理的冷凍蝦的MRI圖像,新鮮蝦和不同處理的冷凍蝦的變化
1、新鮮樣品的圖像顏色最紅最亮,表明新鮮樣品的含水量最高。
2、冷凍處理導致圖像顏色變暗,表明冷凍導致水分流失。
3、MF-60 處理組的圖像顏色比其他冷凍處理組更亮,表明 MF-60 處理有效地減少了水分流失,并提高了肌肉的保水性。
實驗證明:靜態磁場輔助冷凍 (MF) 可以有效提高南美白對蝦的冷凍品質,其中 60 mT 的磁場強度效果最佳,它能夠縮短冷凍時間,減少冰晶對肌肉組織的損傷,從而改善冷凍蝦的保水性、質地和外觀。
“紐邁杯”江南大學優秀案例解析系列至此圓滿收官! 感謝江南大學師生的卓越貢獻,也感謝每一位讀者的持續關注。
電話:400-060-3233
售后:400-060-3233
返回頂部